Overview
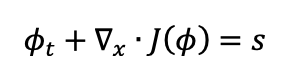
The equations of continuum mechanics are coupled conservation laws of the form
where is the collection of basic unknowns for which the equation is written, the fluxes and the sources both Eulerian and Lagrangian formulations are included in this discussion. Coupled equations of this form govern state variables such as density, velocity, concentrations and temperature. In classical continuum mechanics, these equations are completed by the assertion of constitutive models.
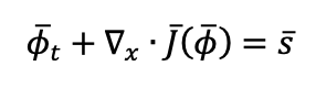
Such modeling frameworks are often accurate only when variables are resolved at scales which render practical computational simulation, based on the equations, infeasible. Thus one seeks systems of conservation laws for averaged (or filtered) quantities that are valid at scales that are computationally tractable:
where the effective flux operator and the effective source together represent the closure model.
Such closure models can be non-local in space and time (e.g.~Mori-Zwanzig formalism in statistical mechanics, homogenization in materials science and spatial averaging in turbulence). Modeling these closure relations is often the primary source of uncertainty in predictive modeling.
This project is focused on the following key question: how can we use data to learn accurate representations for effective closure models at spatial and temporal scales consistent with feasible computational simulations of applications?